-
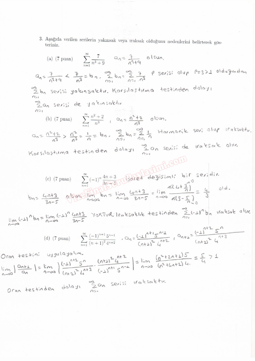
Matematik-1 Final Soruları ve Çözümleri 17-12-2015, 16:01
-
Ayrık Matematik Dersi 4. Quiz Soru ve Çözümleri 17-12-2015, 15:45
-
Ayrık Matematik Dersi 3. Quiz Soru ve Çözümleri 17-12-2015, 15:43
-
Ayrık Matematik Dersi 2. Quiz Soru ve Çözümleri 17-12-2015, 15:40
-
Matematik-1 Vize Soruları ve Çözümleri - 2015 15-12-2015, 21:56
-
Matematik -1 Vize Soruları ve Çözümleri 15-12-2015, 21:53
-
Ayrık Matematik Dersi 1. Quiz Soru ve Çözümleri 15-12-2015, 21:05
-
Ayrık Matematik Dersi Vize Soruları ve Çözümleri 15-12-2015, 21:00





Facebook İle Giriş Yap
Google+ İle Giriş Yap
