İnstagram Pinterest Twitter VFSP - YouTube Facebook
Vize ve Final Soruları / ODTÜ / Introduction to Differential Equations
0




 

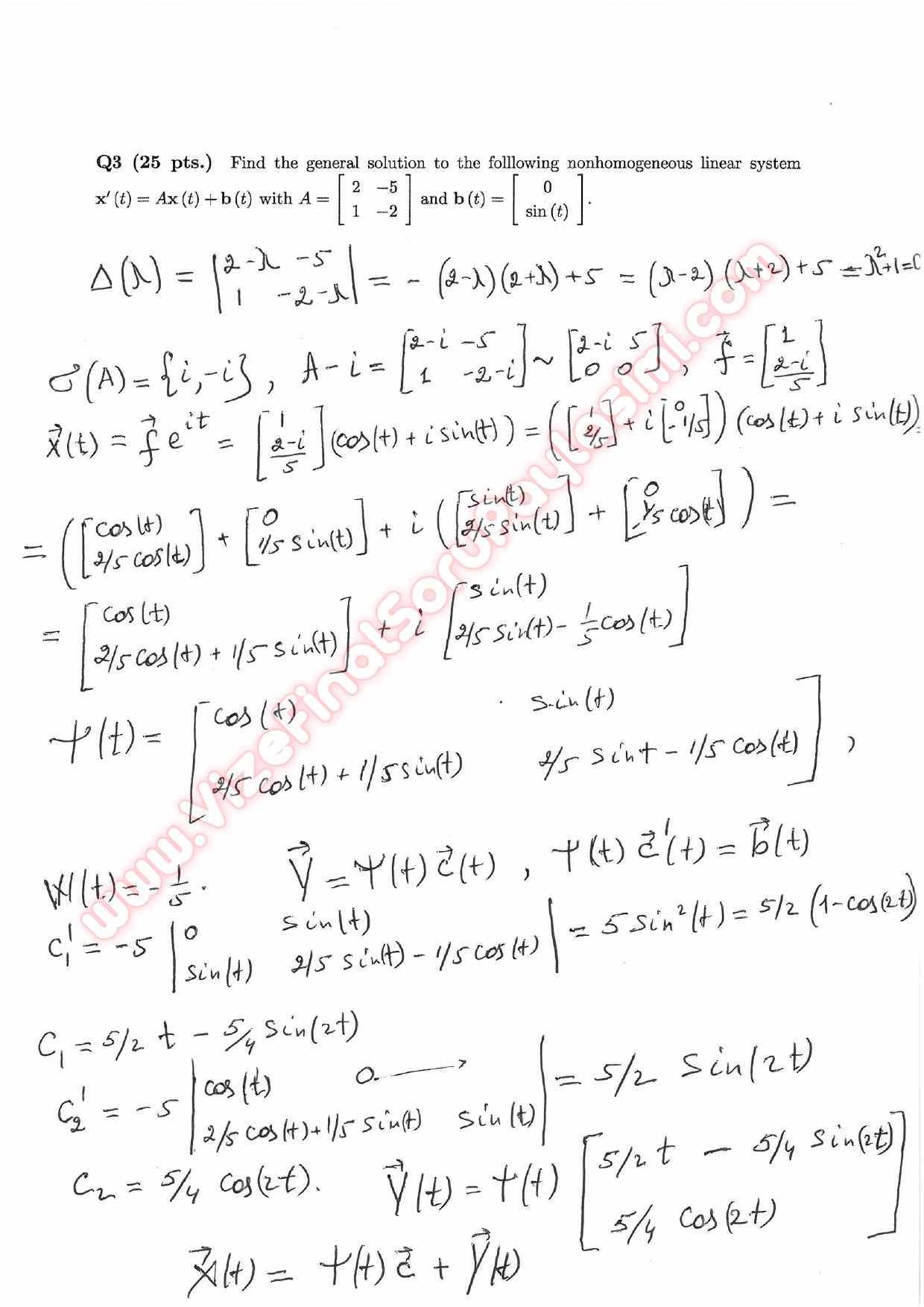
Differential Equations Second Midterm Exam Questions And Solutions Summer 2014

Bu Sayfayı Arkadaşlarınla Paylaşmak İster misin ?
İntroduction Differential Equations Midterm Exam
GERİ DÖN




İsim:*
E-Mail:
Güvenlik: *