-
Differential Equations Midterm Exam Questions And Solutions 2015 9-11-2015, 02:18
-
Differential Equations Second Midterm Exam Questions And Solutions Summer 2014 9-11-2015, 02:09
-
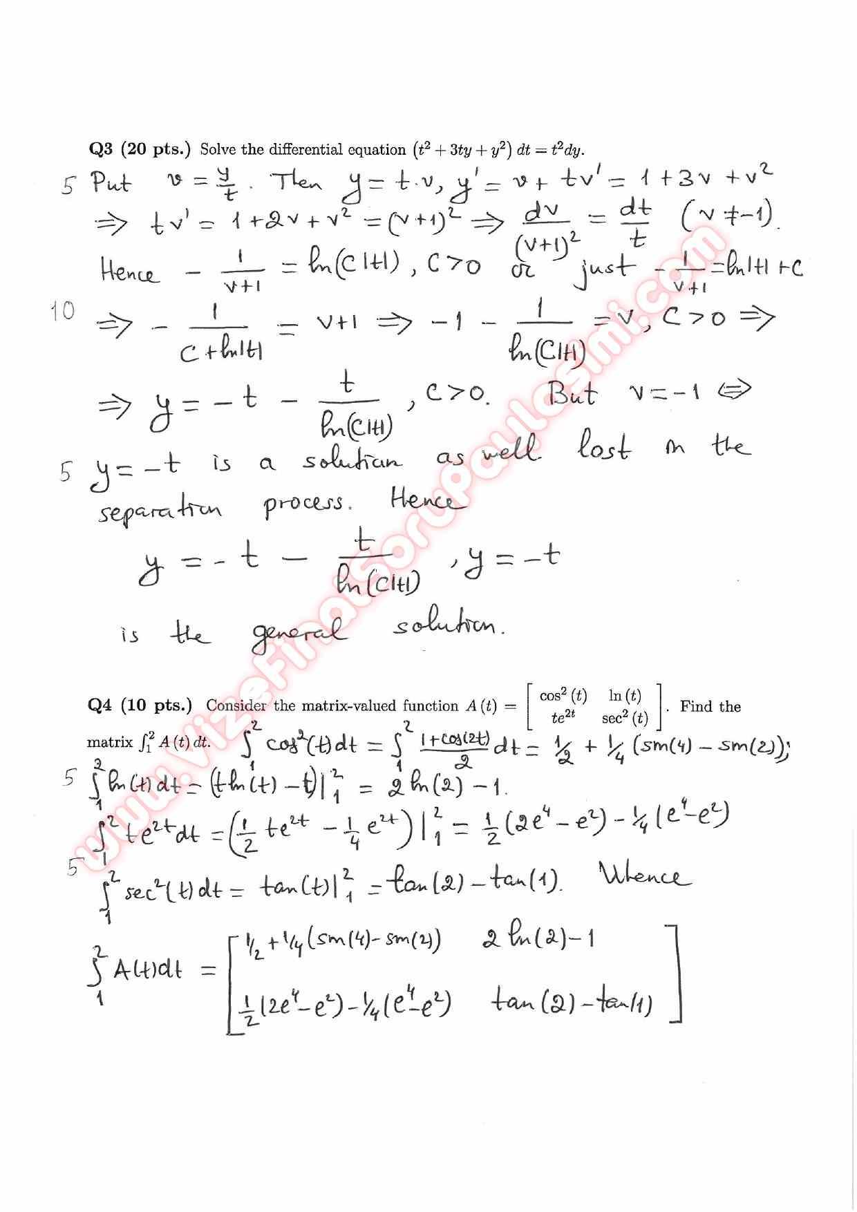
Differential Equations Second Midterm Exam Questions And Solutions Spring 2014 9-11-2015, 02:03
-
Differential Equations First Midterm Exam Questions And Solutions Spring 2014 9-11-2015, 02:00
-
Differential Equations Second Midterm Exam Questions And Solutions Fall 2014 9-11-2015, 01:51
-
Differential Equations First Midterm Exam Questions And Solutions Fall 2014 9-11-2015, 01:47
-
Introduction To Differential Equations Second Midterm Exam Questions And Solutions 2013 9-11-2015, 01:43
-
Introduction To Differential Equations First Midterm Exam Questions And Solutions 9-11-2015, 01:41





Facebook İle Giriş Yap
Google+ İle Giriş Yap
