İnstagram Pinterest Twitter VFSP - YouTube Facebook
Vize ve Final Soruları / ODTÜ / Calculus for Functions of Several Variables
0





 

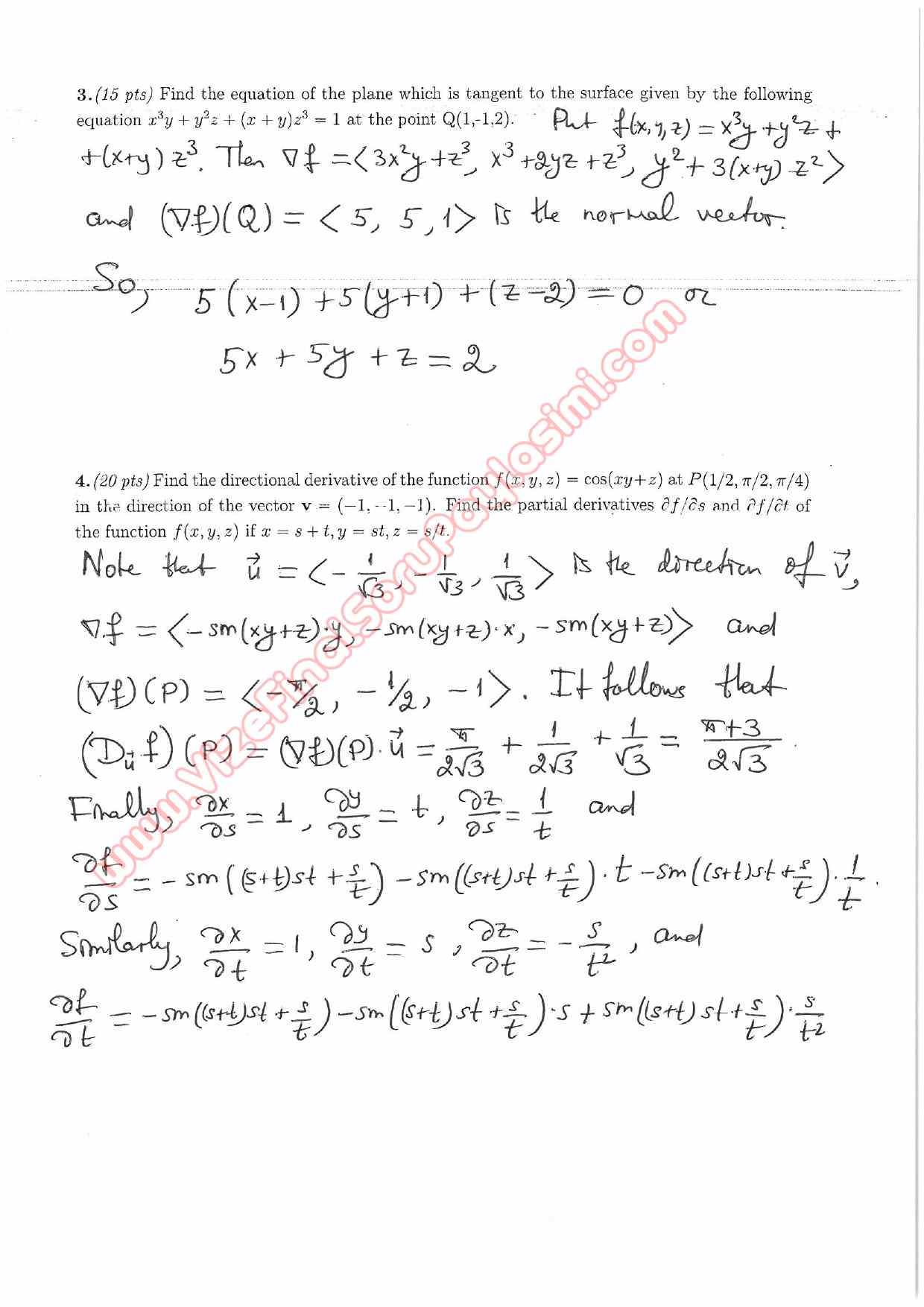
Calculus For Functions Of Several Variables Midterm Exam Questions And Solutions Summer 2015

Bu Sayfayı Arkadaşlarınla Paylaşmak İster misin ?
Calculus Functions Several Variables Questions Solutions Midterm Exam
GERİ DÖN




İsim:*
E-Mail:
Güvenlik: *