-
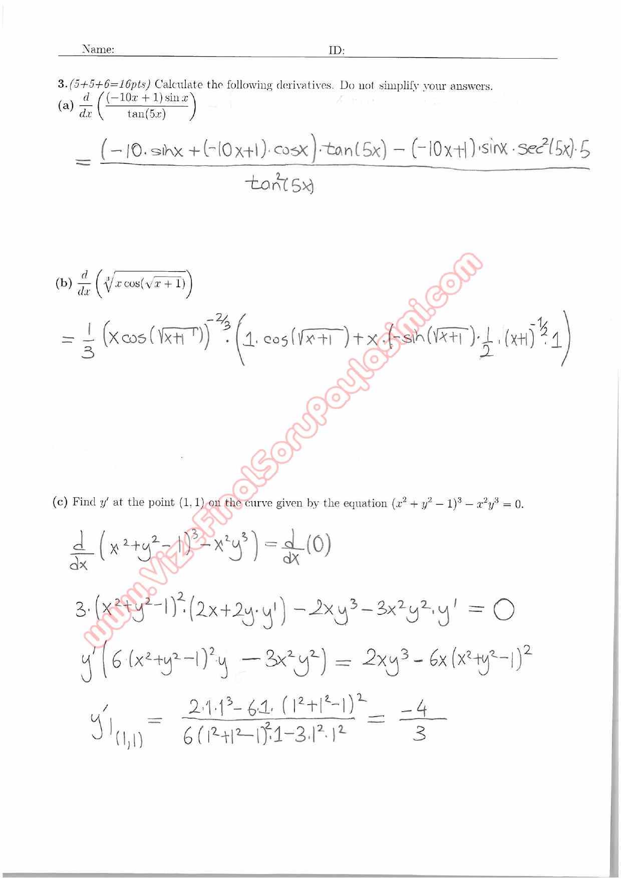
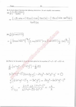
Calculus With Analytic Geometry First Midterm Questions and Solutions Spring 2014 29-10-2015, 05:00
-
Calculus With Analytic Geometry Short Exam Questions and Solutions Fall 2014 29-10-2015, 04:55
-
Calculus With Analytic Geometry Second Midterm Questions and Solutions Fall 2014 29-10-2015, 04:53
-
Calculus With Analytic Geometry Final Questions and Solutions Fall 2014 29-10-2015, 04:49
-
Calculus With Analytic Geometry Second Short Exam Questions and Solutions Fall 2013 29-10-2015, 04:35
-
Calculus With Analytic Geometry Second Midterm Questions and Solutions Fall 2013 29-10-2015, 04:33
-
Calculus With Analytic Geometry First Short Exam Questions and Solutions Fall 2013 29-10-2015, 04:31
-
Calculus With Analytic Geometry First Midterm Questions and Solutions Fall 2013 29-10-2015, 04:27





Facebook İle Giriş Yap
Google+ İle Giriş Yap
