İnstagram Pinterest Twitter VFSP - YouTube Facebook
Vize ve Final Soruları / Sakarya Üniversitesi / Diferansiyel Denklemler
+5




 

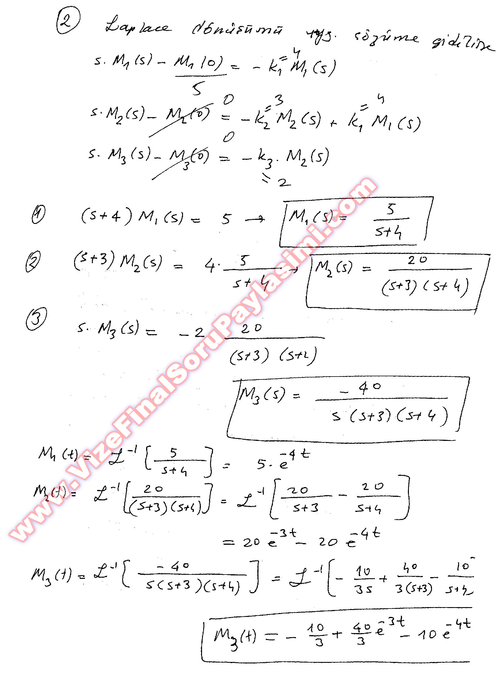
Diferansiyel Denklemler Final Soruları - 2010

 

Bu Sayfayı Arkadaşlarınla Paylaşmak İster misin ?
GERİ DÖN




İsim:*
E-Mail:
Güvenlik: *