-
Sinyaller Ve Sistemler Final Soruları Ve Çözümleri Bahar - 2014 30-08-2015, 00:22
-
Sinyaller Ve Sistemler Bütünleme Soruları Bahar - 2014 30-08-2015, 00:18
-
Sinyaller Ve Sistemler Vize Soruları Ve Çözümleri Güz - 2013 30-08-2015, 00:13
-
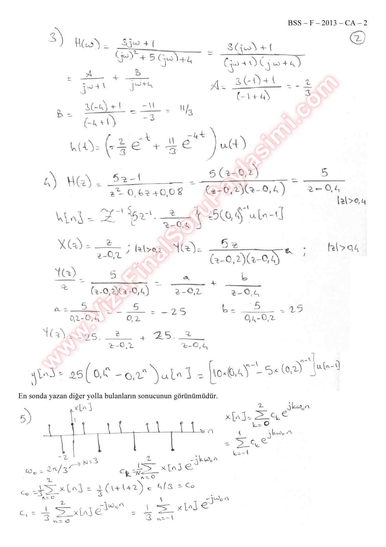
Sinyaller Ve Sistemler Vize Soruları Ve Çözümleri - 2013 30-08-2015, 00:11
-
Sinyaller Ve Sistemler Final Soruları Ve Çözümleri - 2013 30-08-2015, 00:08
-
Sinyaller Ve Sistemler Bütünleme Soruları Ve Çözümleri - 2013 30-08-2015, 00:07
-
Sinyaller Ve Sistemler Bütünleme Soruları Bahar - 2013 30-08-2015, 00:05
-
Sinyaller Ve Sistemler Final Soruları Ve Çözümleri Bahar - 2012 30-08-2015, 00:01





Facebook İle Giriş Yap
Google+ İle Giriş Yap
