-
Sinyaller Ve Sistemler Bütünleme Soruları - 2015 30-08-2015, 00:25
-
Sinyaller Ve Sistemler Bütünleme Soruları - 2014 30-08-2015, 00:16
-
Sinyaller Ve Sistemler Vize Soruları Ve Çözümleri Güz - 2013 30-08-2015, 00:13
-
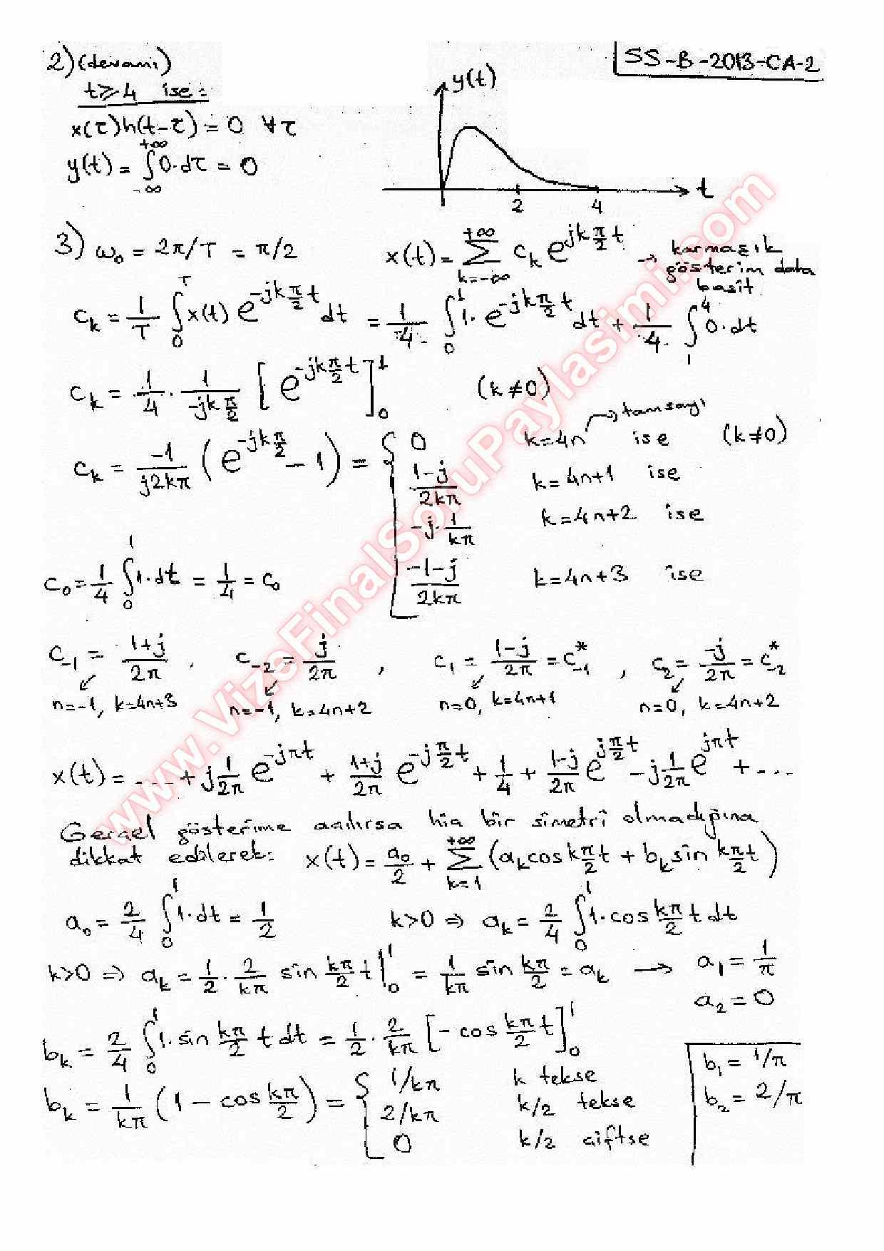
Sinyaller Ve Sistemler Vize Soruları Ve Çözümleri - 2013 30-08-2015, 00:11
-
Sinyaller Ve Sistemler Final Soruları Ve Çözümleri Bahar - 2013 30-08-2015, 00:10
-
Sinyaller Ve Sistemler Final Soruları Ve Çözümleri - 2013 30-08-2015, 00:08
-
Sinyaller Ve Sistemler Bütünleme Soruları Bahar - 2013 30-08-2015, 00:05
-
Sinyaller Ve Sistemler Bütünleme Soruları Ve Çözümleri - 2012 29-08-2015, 23:57





Facebook İle Giriş Yap
Google+ İle Giriş Yap
