İnstagram Pinterest Twitter VFSP - YouTube Facebook
Vize ve Final Soruları / Kırıkkale Üniversitesi / Güç Elektroniği
0




 

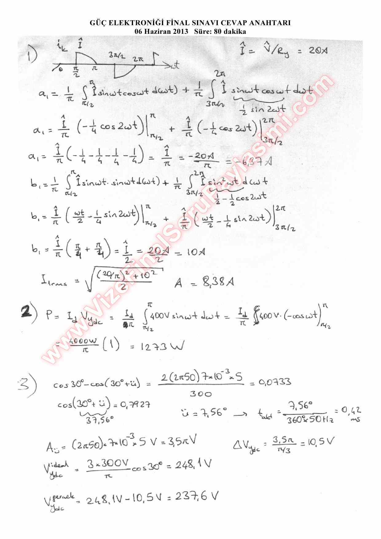
Güç Elektroniği Final Soruları Ve Çözümleri -2013

Bu Sayfayı Arkadaşlarınla Paylaşmak İster misin ?
guc elektronigi final sorulari 2013
GERİ DÖN




İsim:*
E-Mail:
Güvenlik: *