İnstagram Pinterest Twitter VFSP - YouTube Facebook
Vize ve Final Soruları / Pamukkale Üniversitesi / İstatistik Dersi
+4





 

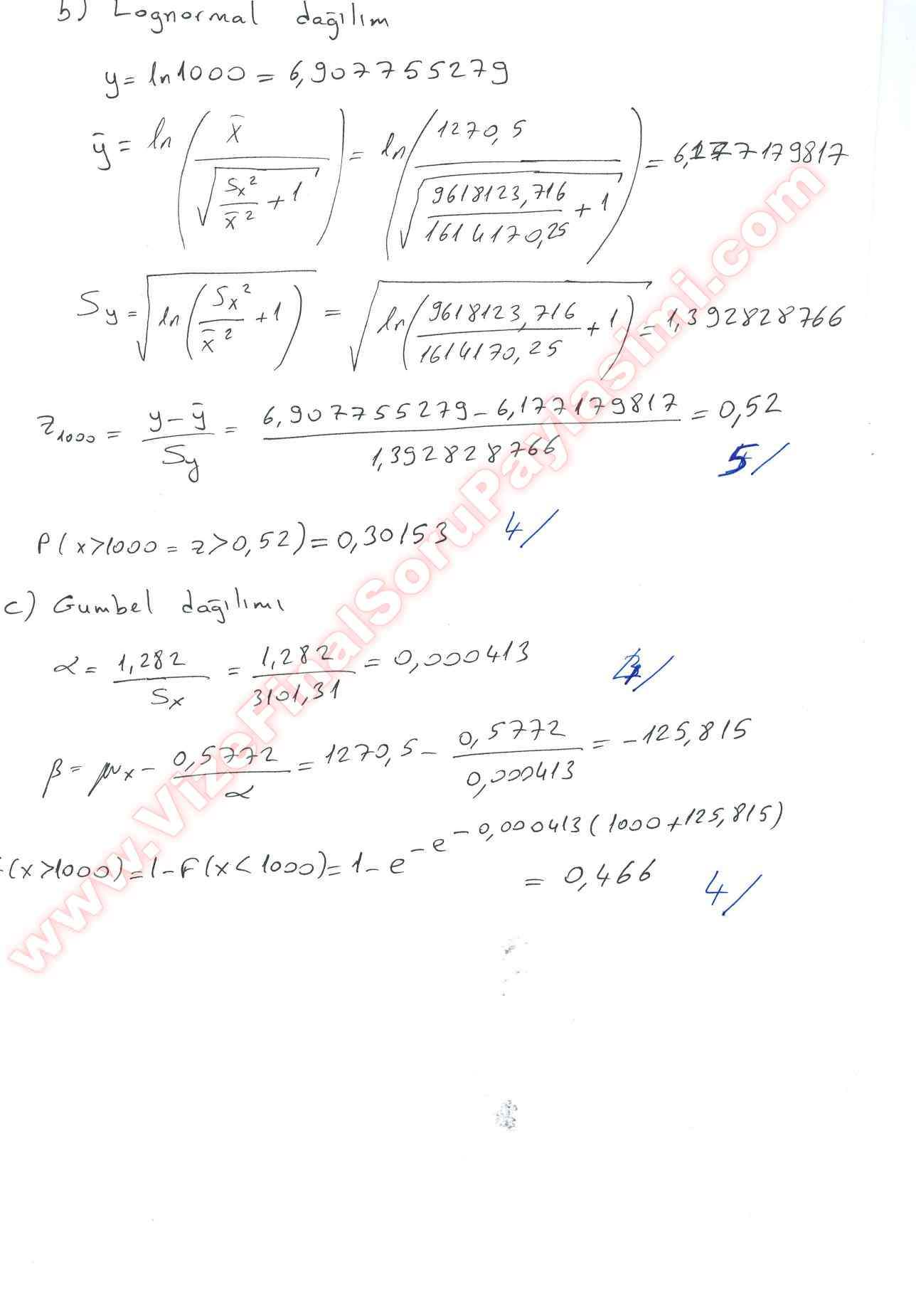
İstatistik Final Soruları -2012

Bu Sayfayı Arkadaşlarınla Paylaşmak İster misin ?
istatistik Final Cevaplari
GERİ DÖN




İsim:*
E-Mail:
Güvenlik: *