İnstagram Pinterest Twitter VFSP - YouTube Facebook
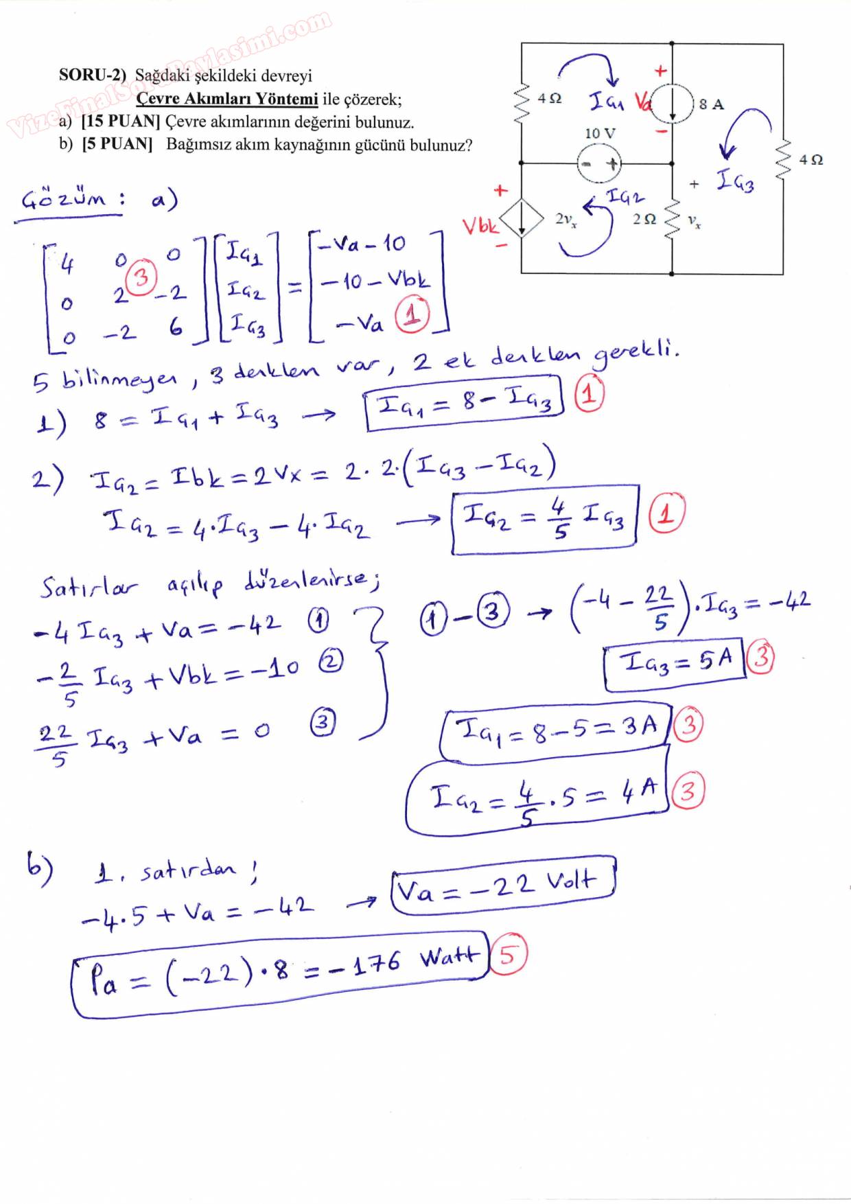
Vize ve Final Soruları / Sakarya Üniversitesi / Elektrik Devreleri-1
+1





Bu Sayfayı Arkadaşlarınla Paylaşmak İster misin ?
GERİ DÖN




İsim:*
E-Mail:
Güvenlik: *