İnstagram Pinterest Twitter VFSP - YouTube Facebook
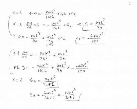
Vize ve Final Soruları / Pamukkale Üniversitesi / Mukavemet -2
+3




 

Mukavemet -2 Final Soruları ve Cevapları

Bu Sayfayı Arkadaşlarınla Paylaşmak İster misin ?
pau Pamukkale Üniversitesi mukavemet-2 dersi cevapları finalsoruları
GERİ DÖN




İsim:*
E-Mail:
Güvenlik: *