-
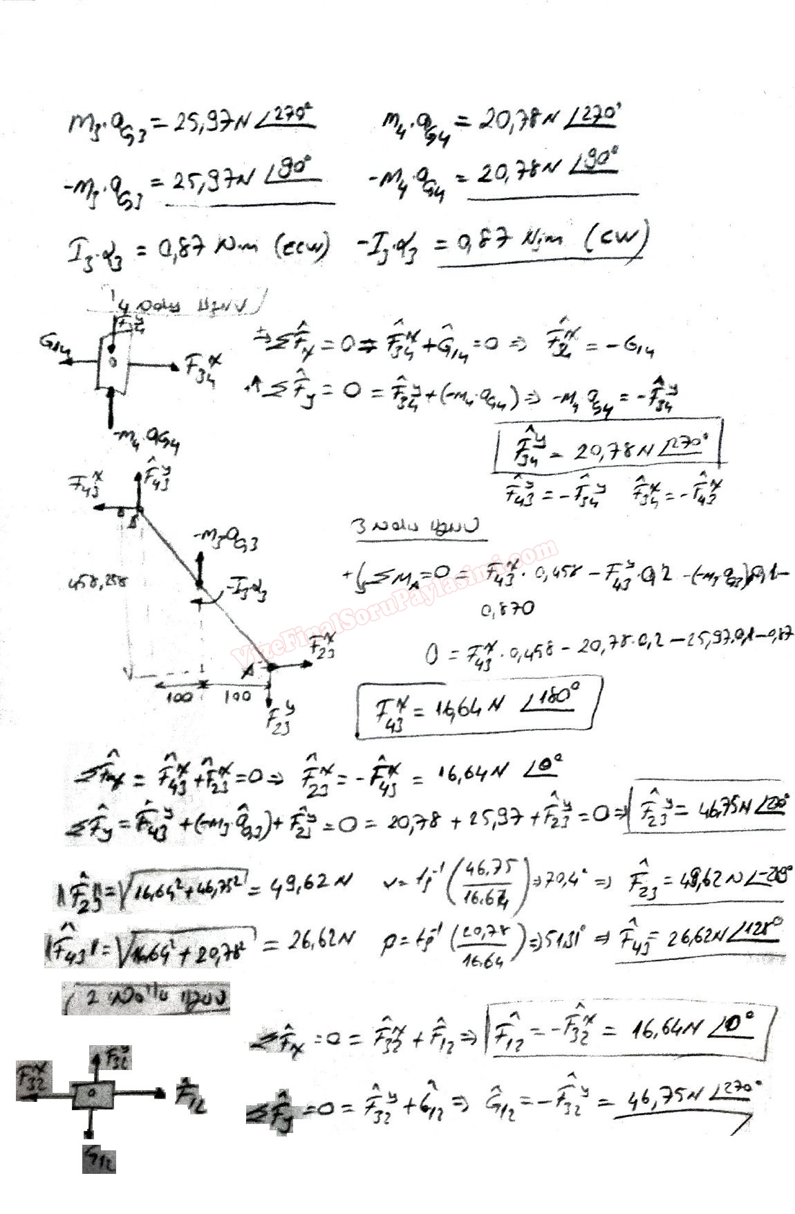
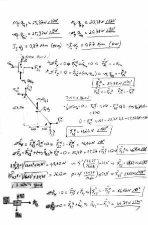
Makina Dinamiği Final Soruları -2017 12-01-2018, 20:10
-
Makina Elemanları -2 Bütünleme Soruları 2016 12-01-2018, 18:31
-
Makina Elemanları -2 Final Soruları 2016 12-01-2018, 18:06
-
Makina Dinamiği Final Soruları 25-06-2015, 15:07
-
Makina Dinamiği Bütünleme Soruları 4-03-2015, 17:04
-
Makina Dinamiği Final Soruları 4-03-2015, 16:22
-
Makina Dinamiği Vize Soruları-2011 3-03-2015, 17:28
-
Makina Dinamiği Final Soruları 23-07-2014, 19:13





Facebook İle Giriş Yap
Google+ İle Giriş Yap

Yorumlar 1