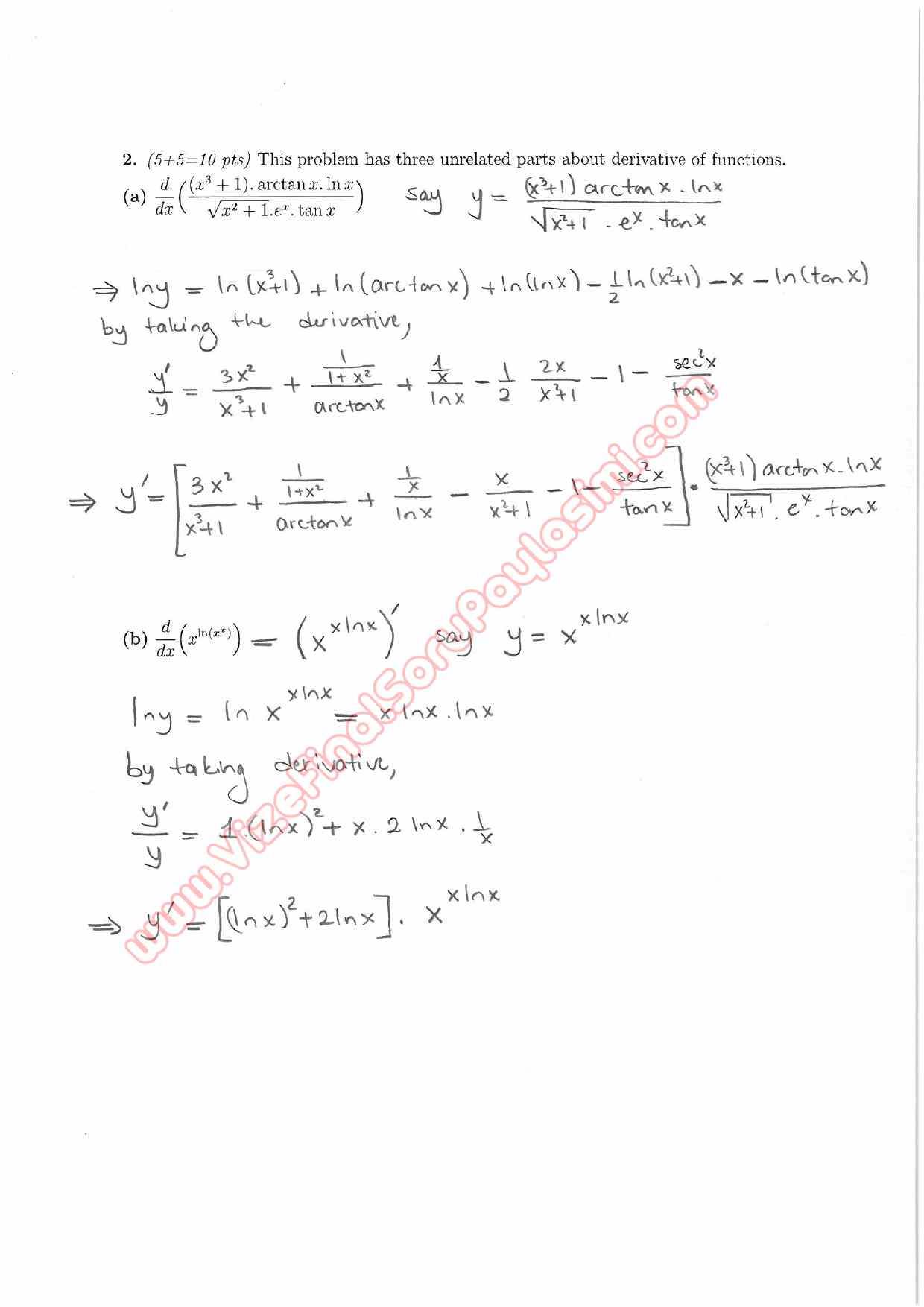
Calculus With Analytic Geometry Final Questions and Solutions Summer 2014 Paylaşan: ramazan52 Tarih: 29-10-2015, 05:04 Gösterim: 2 463 Vize ve Final Soruları / ODTÜ / Calculus With Analytic Geometry 0 << 1 2 3 4 5 6 7 8 >>