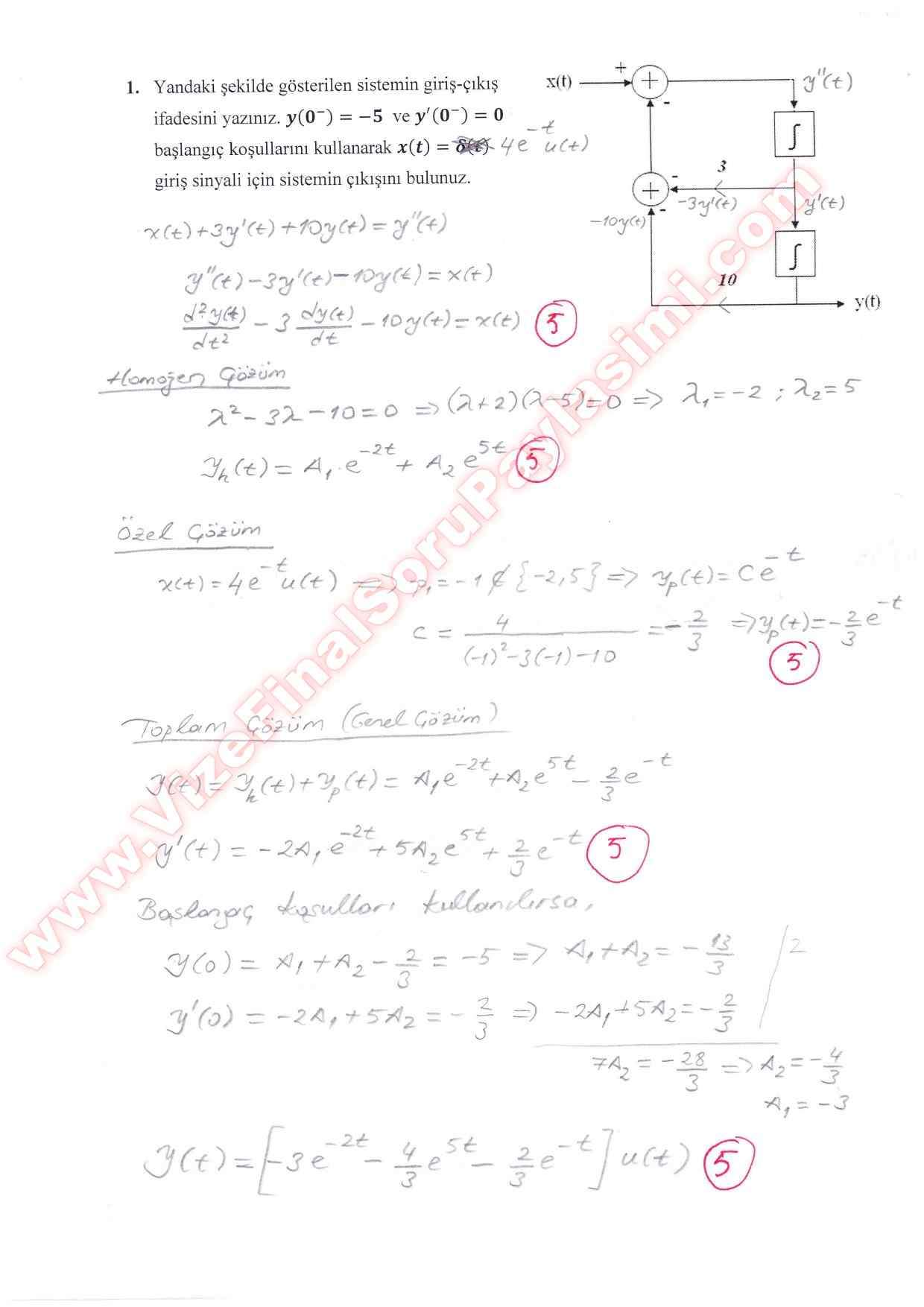
-
Sinyaller Ve Sistemler Final Soruları Ve Çözümleri 7-07-2015, 14:52
-
Robotik Sistemler Vize soruları 26-03-2015, 07:01
-
Fırat Üniversitesi Sinyaller ve Sistemler Dersi Vize-2 Soruları 18-07-2014, 19:43
-
Fırat Üniversitesi Sinyaller ve Sistemler Dersi Vize Soruları 18-07-2014, 19:42
-
Fırat Üniversitesi Sinyaller ve Sistemler Dersi Mazeret Soruları 18-07-2014, 19:41
-
Fırat Üniversitesi Sinyaller ve Sistemler Dersi Final Soruları 18-07-2014, 19:38
-
Fırat Üniversitesi Sinyaller ve Sistemler Dersi Bütünleme Soruları 18-07-2014, 02:05
-
Elektromanyetik Sistemler Dersi Final Soruları ve Çözümleri (2014) 19-06-2014, 21:11





Facebook İle Giriş Yap
Google+ İle Giriş Yap
