-
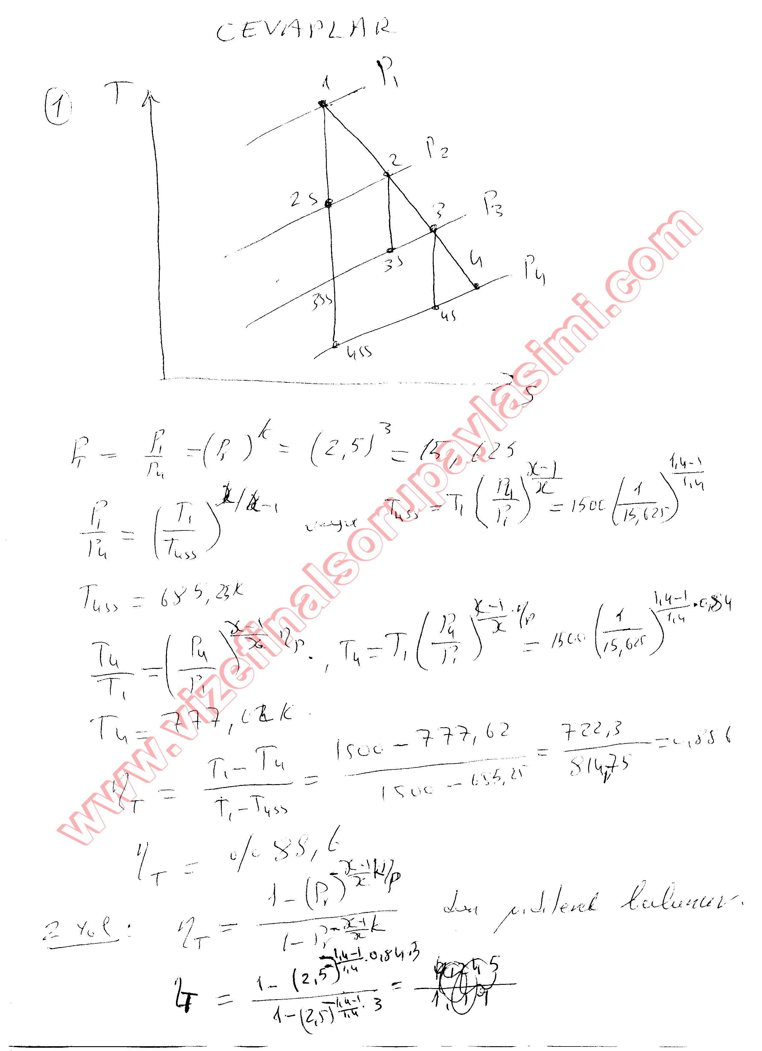
Termik Turbo Makinaları Final Soruları Ve Cevapları-2010 23-12-2014, 23:18
-
Elektrik Makinaları-1 Vize Soruları Ve Cevapları-2012 12-12-2014, 17:14
-
Elektrik Makinaları-1 Vize Soruları Ve Cevapları-2010 12-12-2014, 17:11
-
Elektrik Makinaları-1 Vize Soruları Ve Cevapları-2009 12-12-2014, 17:08
-
Elektrik Makinaları-1 Vize Soruları Ve Cevapları-2008 12-12-2014, 17:03
-
Elektrik Makinaları-1 Vize Soruları Ve Cevapları-2000 12-12-2014, 16:53
-
Hidrolik Makinaları Vize Soruları Ve Cevapları-2011 8-11-2014, 23:30
-
Süleyman Demirel Üniversitesi Vize ve Final Soruları 7-06-2014, 05:16





Facebook İle Giriş Yap
Google+ İle Giriş Yap
