İnstagram Pinterest Twitter VFSP - YouTube Facebook
Vize ve Final Soruları / Kırıkkale Üniversitesi / Hidrolik Dersi
0





 

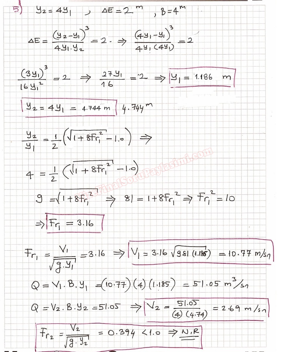
Hidrolik Dersi Final Soruları ve Çözümleri

Bu Sayfayı Arkadaşlarınla Paylaşmak İster misin ?
Hidrolik Dersi Final Soruları Çözümleri KKU Kırıkkale Üniversitesi
GERİ DÖN




İsim:*
E-Mail:
Güvenlik: *