Vize ve Final Soruları / Yeditepe Üniversitesi / Güç Sistemleri Temelleri
GERİ DÖN
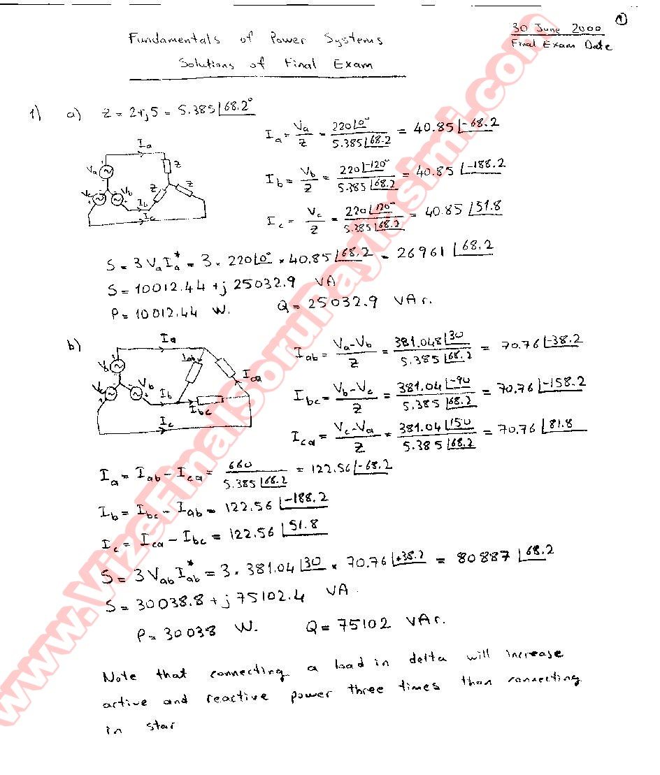
Güç Sistemleri Temelleri Final Soruları Ve Cevapları - 30.06.2000
Power Systems Fundamentals Final Questions And Answers -30 June 2000





Facebook İle Giriş Yap
Google+ İle Giriş Yap
