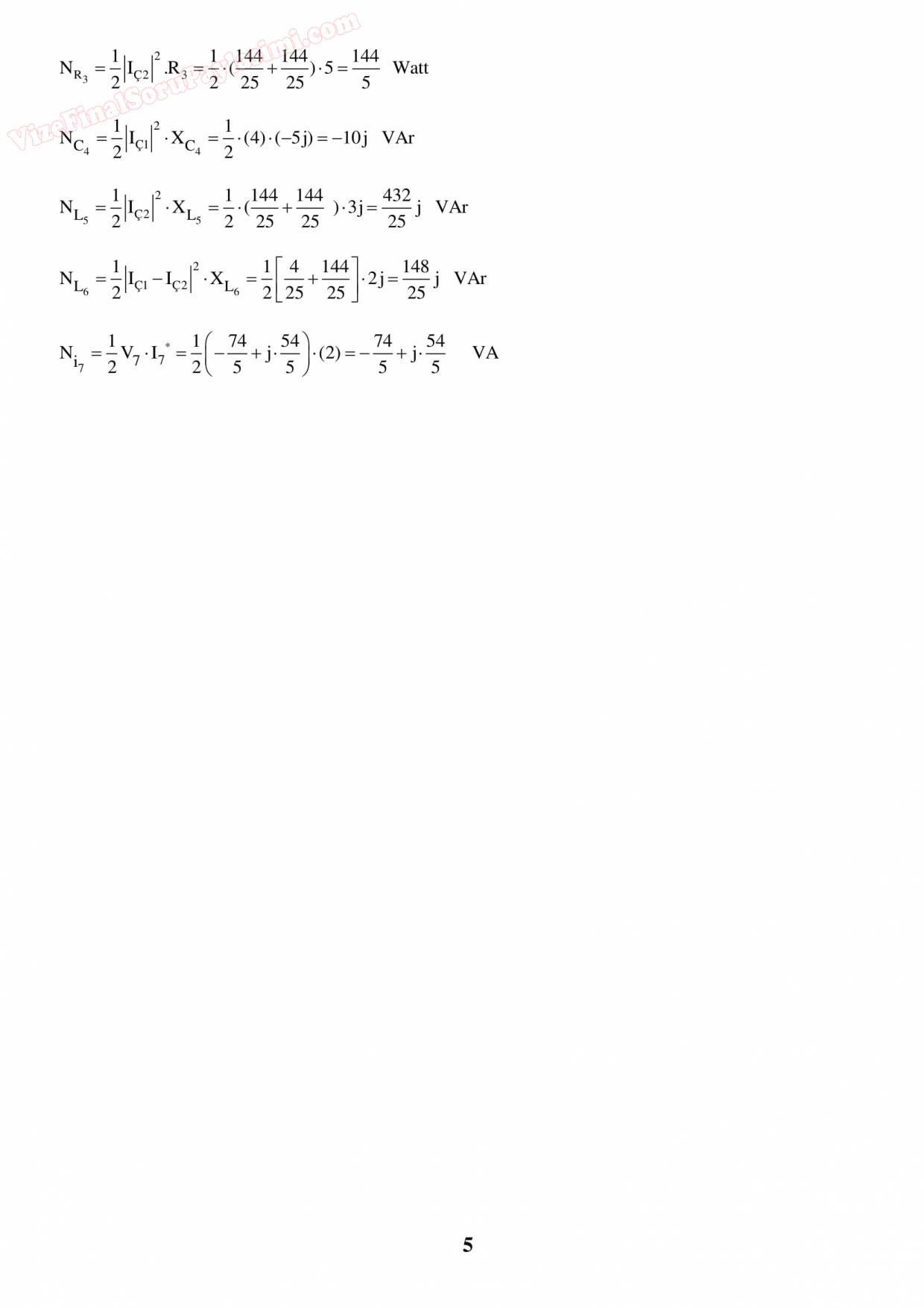
Vize ve Final Soruları / Sakarya Üniversitesi / Elektrik Devreleri-2
GERİ DÖN
-
Elektrik devreleri 2 Vize Soruları 27-11-2019, 23:21
-
Elektrik Devreleri -2 Vize Soruları 12-12-2015, 10:18
-
Elektrik Devreleri -1 Vize Soruları - 2014 12-12-2015, 10:13
-
Elektrik Devreleri -1 Vize Soruları 11-12-2015, 20:01
-
Elektrik Devreleri Vize Soruları Ve Çözümleri -2015 4-09-2015, 20:32
-
Elektrik Devreleri Vize Soruları Ve Çözümleri -2014 4-09-2015, 20:31
-
Elektrik Devreleri-1 Vize Soruları Ve Cevapları 13-05-2015, 16:21
-
Elektrik Devreleri-2 Vize Soruları Ve Cevapları-2013 24-04-2015, 23:26





Facebook İle Giriş Yap
Google+ İle Giriş Yap