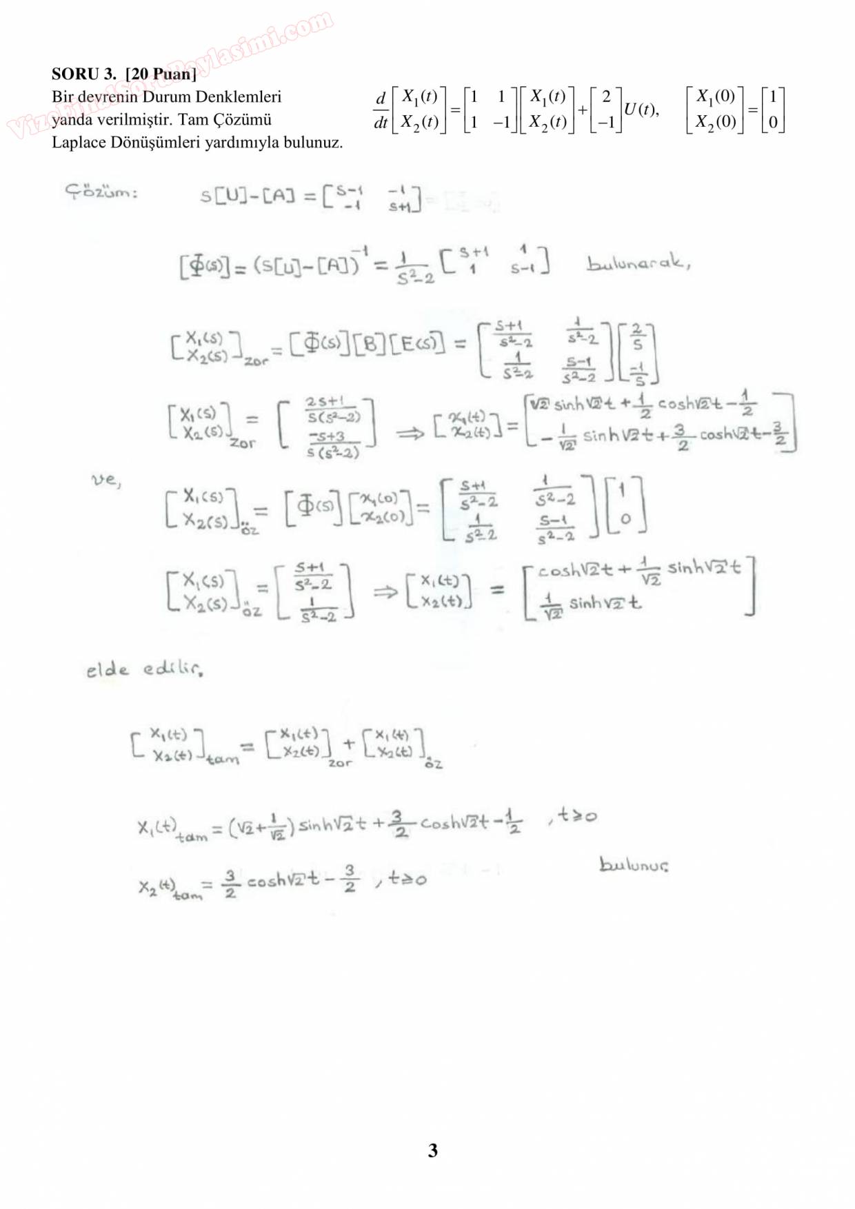
Vize ve Final Soruları / Sakarya Üniversitesi / Elektrik Devreleri-2
GERİ DÖN
-
Elektrik devreleri 2 Bütünleme Sınavı 27-11-2019, 23:29
-
Elektrik Devreleri -2 Bütünleme Soruları 11-12-2015, 19:48
-
Elektrik Devreleri-1 Bütünleme Soruları 11-12-2015, 19:45
-
Elektrik Devreleri-2 Bütünleme Soruları Ve Cevapları-2013 24-04-2015, 19:38
-
Mantık Devreleri Bütünleme Soruları Ve Cevapları-2013 31-03-2015, 10:26
-
Mantık Devreleri Bütünleme Soruları-2012 31-03-2015, 00:50
-
Elektrik Devreleri Lab Final Soruları 26-03-2015, 04:17
-
Elektrik Devreleri-2 Mazeret Soruları Ve Cevapları-(2004-2005) 22-12-2014, 12:14





Facebook İle Giriş Yap
Google+ İle Giriş Yap