İnstagram Pinterest Twitter VFSP - YouTube Facebook
Vize ve Final Soruları / Sakarya Üniversitesi / Diferansiyel Denklemler
0




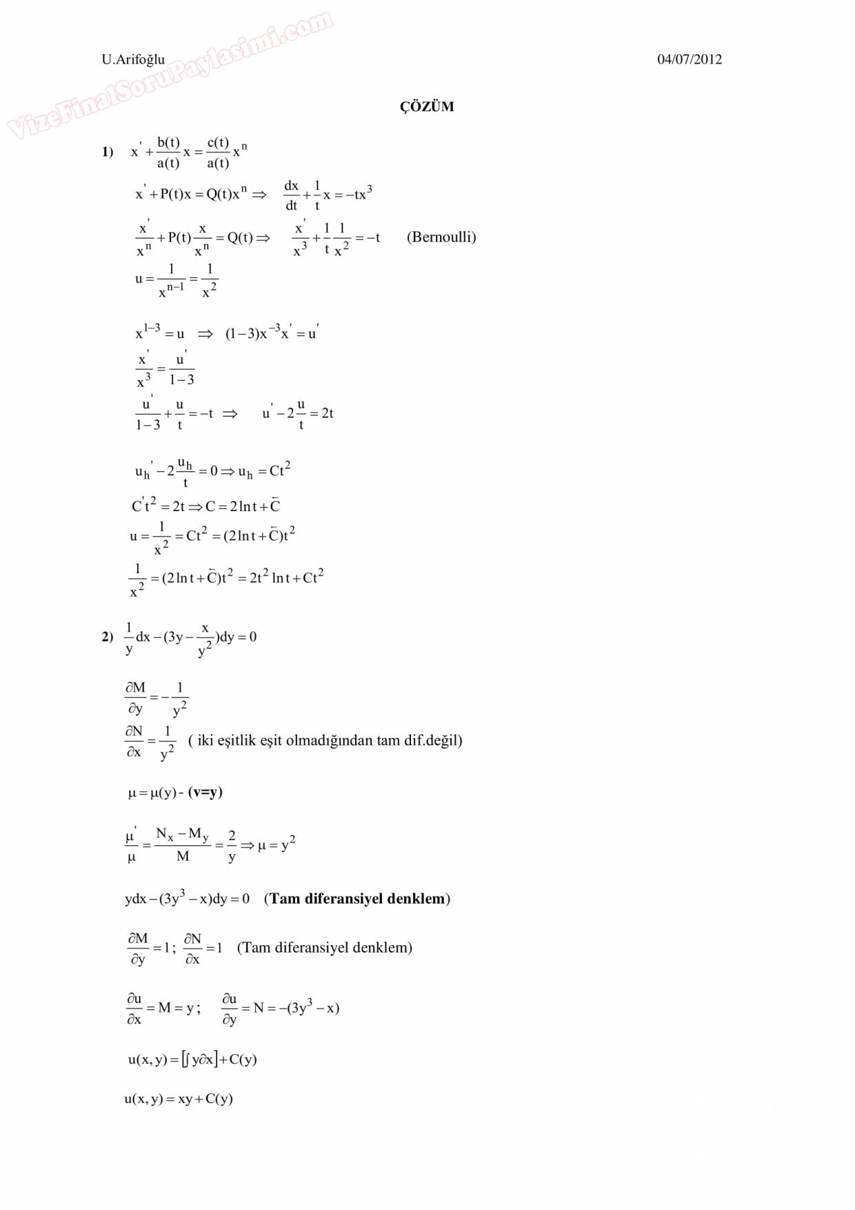
Diferansiyel Denklemler Yaz Vize Soruları




Bu Sayfayı Arkadaşlarınla Paylaşmak İster misin ?
GERİ DÖN




İsim:*
E-Mail:
Güvenlik: *