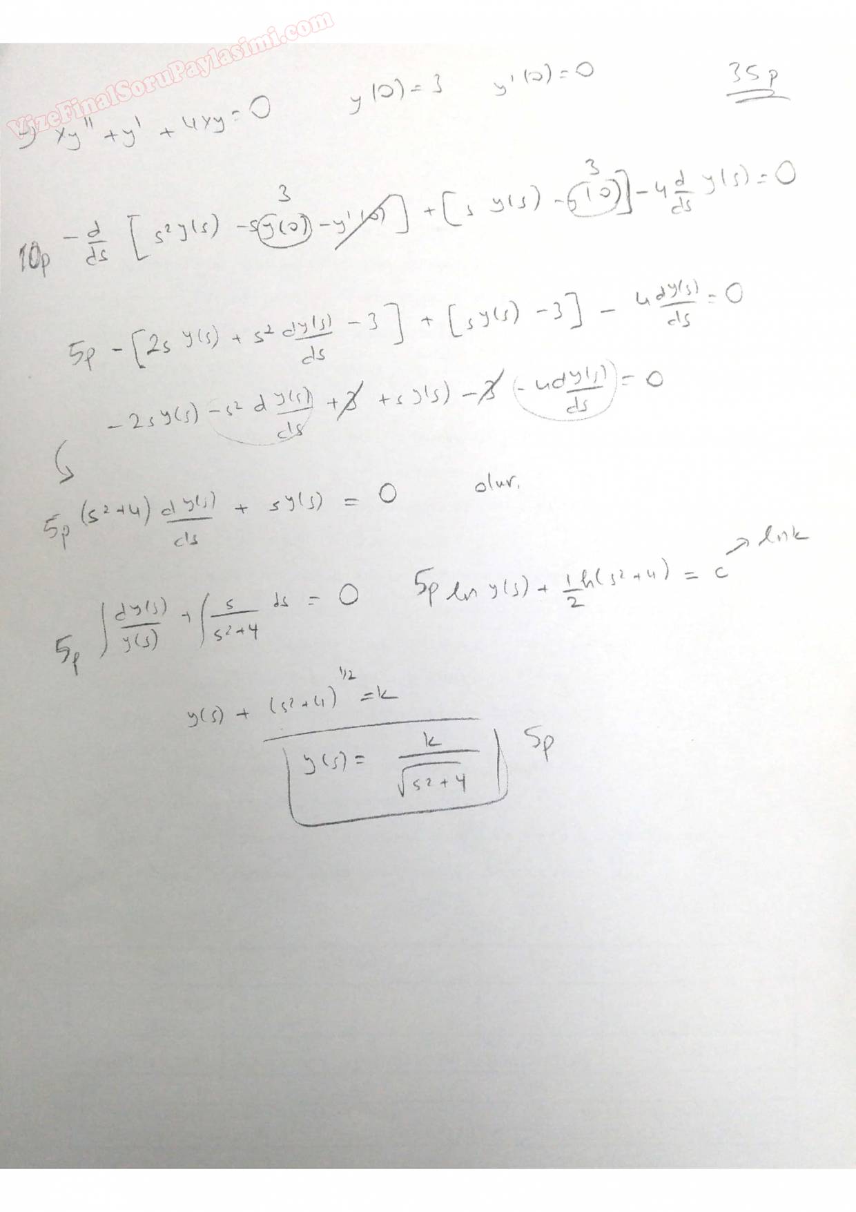
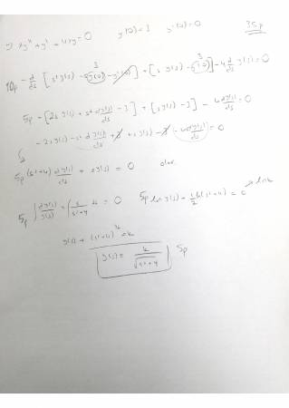
Vize ve Final Soruları / Sakarya Uygulamalı Bilimler Üniversitesi / Mühendislik Matematiği
GERİ DÖN
-
Mühendislik Matematiği Dersi Final Soruları 9-11-2016, 22:54
-
Mühendislik Matematiği Vize Soruları 17-03-2016, 14:01
-
Mühendislik Matematiği Final Soruları 19-08-2015, 12:36
-
Mühendislik Matematiği Vize Soruları 19-08-2015, 12:35
-
Mühendislik Matematiği Çalışma Soruları 2014 29-03-2015, 05:03
-
Mühendislik Matematiği Vize Soruları 4-03-2015, 16:53
-
Mühendislik Matematiği Final Soruları 3-03-2015, 22:27
-
Mühendislik Matematiği Final Soruları - 2015 25-01-2015, 17:58





Facebook İle Giriş Yap
Google+ İle Giriş Yap