Vize ve Final Soruları / Sakarya Uygulamalı Bilimler Üniversitesi / Mühendislik Matematiği
GERİ DÖN
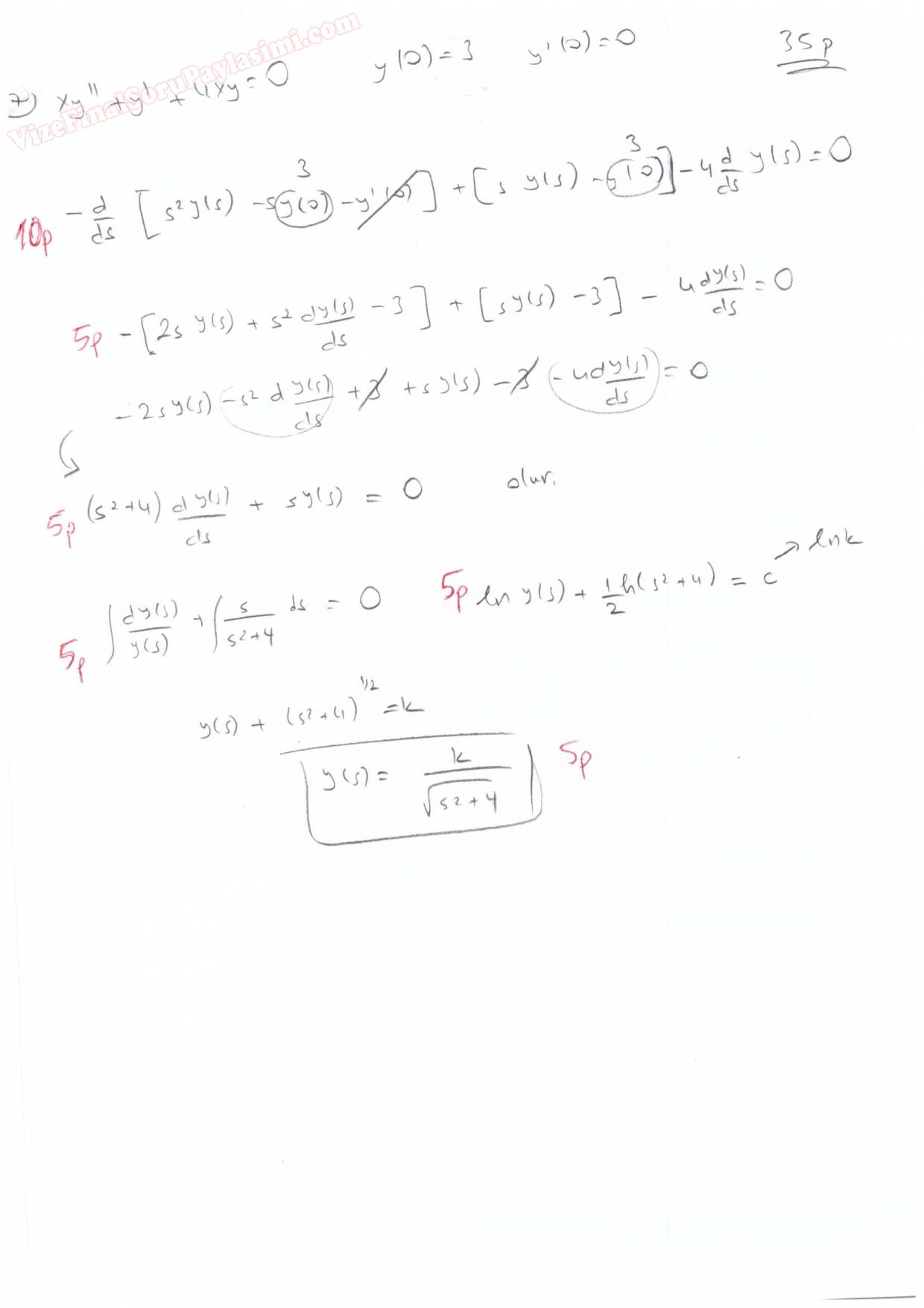
Mühendislik Matematiği Vize





Facebook İle Giriş Yap
Google+ İle Giriş Yap