Vize ve Final Soruları / Süleyman Demirel Üniversitesi / Makine Mühendisliğine Giriş
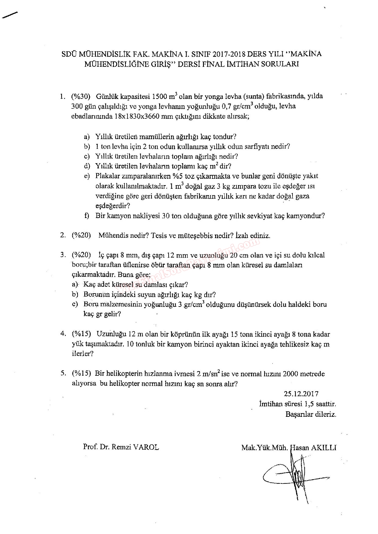
Makine Mühendisliğine Giriş Final Soruları ve Cevapları -2018
sdu Süleyman Demirel Üniversitesi Makine Mühendisliğine Giriş ders sınav soruları final soruları cevapları 2018 GERİ DÖN-
Makine Mühendisliğine Giriş Vize Soruları ve Cevapları 19-01-2018, 01:22
-
Makine Mühendisliğine Giriş Final Soruları ve Cevapları 11-06-2017, 23:06
-
Makine Mühendisliğine Giriş Vize Soruları ve Cevapları 11-06-2017, 23:03
-
Bilgisayar Mühendisliğine Giriş Final Soruları 4-06-2017, 20:31
-
Elektrik Elektronik Mühendisliğine Giriş -1 Final Soruları 16-01-2016, 13:21
-
Makine Mühendisliğine Giriş Vize Final Soruları 24-12-2015, 16:05
-
Mekatronik Mühendisliğine Giriş Bütünleme Soruları - 2015 28-01-2015, 19:03
-
Mekatronik Mühendisliğine Giriş Final Soruları - 2015 28-01-2015, 18:57





Facebook İle Giriş Yap
Google+ İle Giriş Yap
