Vize ve Final Soruları / Süleyman Demirel Üniversitesi / Matematik-2
Matematik -2 Arasınav Soruları ve Cevapları
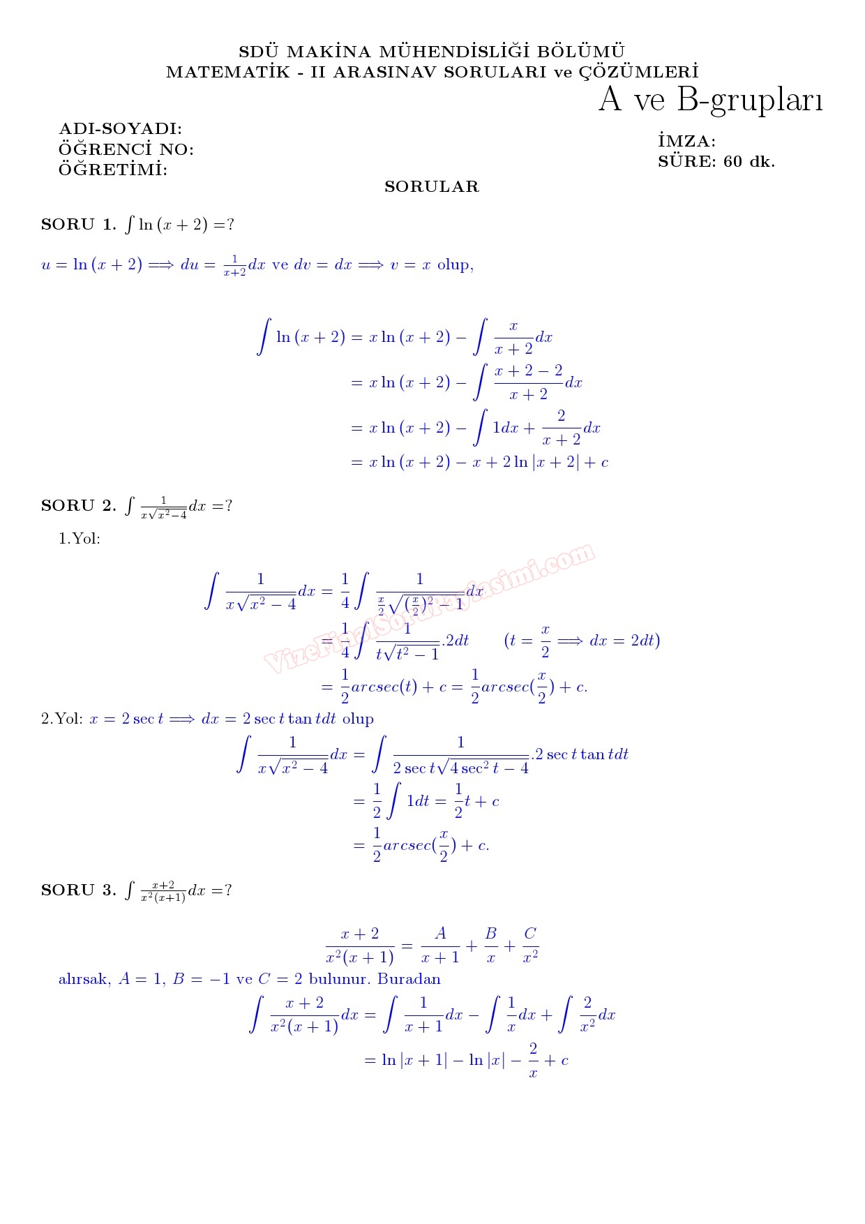
Matematik -2 Arasınav Soruları Vize Soruları ve Cevapları Süleyman Demirel Üniversitesi 2016 2016 GERİ DÖN-
Matematik -1 Arasınav Soruları ve Cevapları 11-06-2017, 17:26
-
Fizik -1 Arasınav Soruları ve Cevapları 11-06-2017, 16:59
-
Fizik -2 Arasınav Soruları ve Cevapları 11-06-2017, 13:47
-
Fizik -2 Arasınav Soruları ve Cevapları 11-06-2017, 13:39
-
Fizik -2 Arasınav Soruları ve Cevapları 11-06-2017, 13:38
-
Matematik - 2 Arasınav Soruları - Mühendislik Fakültesi 10-04-2017, 00:18
-
Matematik - 2 Arasınav Soruları 9-04-2017, 23:53
-
Matematik 1 Arasınav Soruları 3-12-2014, 21:11





Facebook İle Giriş Yap
Google+ İle Giriş Yap