Üniversite Ders Notları / Elektrik Devreleri -2 Ders Notları
Düğüm Analizi Örnek Soru Çözümü Ders Notları
GERİ DÖN
-
Toplamsallık Teoremi İle 'AC' Devre Örnek Soru Çözümü 11-06-2017, 16:00
-
Mesh Analizi İle İlgili Örnek Soru Çözümü 11-06-2017, 15:57
-
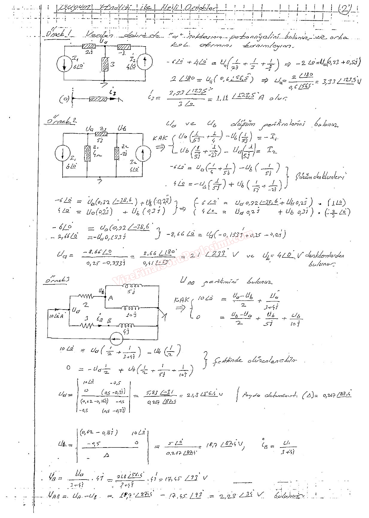
Çevre ve Düğüm Analizi İle İlgili Örnekler 11-06-2017, 15:52
-
Delik ve Mil Toleransı Soru Çözümü - (EBB, EKB, EBS, EKS, AT) 19-02-2016, 12:38
-
Çizgi İntegrali Örnek Soru ve Çözümü 22-12-2015, 22:43
-
R-L-C Devresi Örnek Soru Çözümü 19-12-2015, 16:29
-
R-C Devresi Soru Çözümü - Örnek 19-12-2015, 16:26
-
R-L Devresi Doğal Cevap Örnek Soru Çözümü 19-12-2015, 16:23





Facebook İle Giriş Yap
Google+ İle Giriş Yap