Vize ve Final Soruları / Balıkesir Üniversitesi / Genetik -1
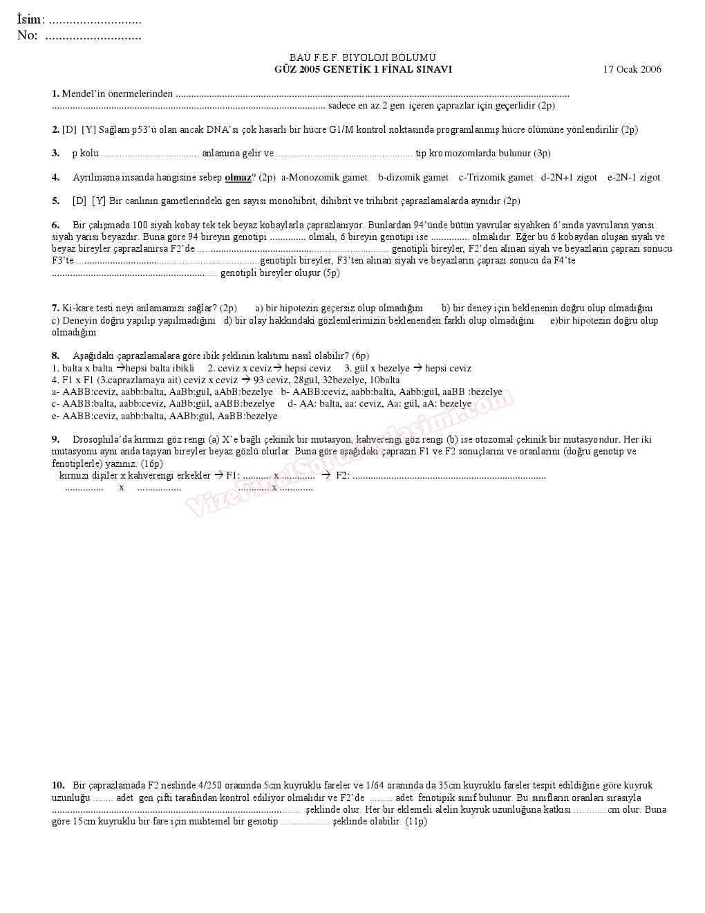
Genetik 1 Final Soruları 2005
genetik1 final soruları Balıkesir Üniversitesi GERİ DÖN-
Genetik-1 Vize Soru ve Cevapları 2005 25-12-2015, 13:06
-
Genetik 1 Bütünleme Soruları 2010 25-12-2015, 12:36
-
Genetik -1 Final Soruları -2004 5-07-2015, 00:55
-
Genetik -1 Final Soruları 5-07-2015, 00:32
-
Yapı Statiği Final Soruları -2005 15-05-2015, 13:45
-
Mukavemet -2 Final Soruları -2005 14-05-2015, 19:06
-
Jeoloji Final Soruları -2005 14-05-2015, 18:41
-
Hidrolik Final Soruları - 2005 14-05-2015, 17:45





Facebook İle Giriş Yap
Google+ İle Giriş Yap