İnstagram Pinterest Twitter VFSP - YouTube Facebook
Vize ve Final Soruları / Sakarya Üniversitesi / Elektrik Devreleri-2
0




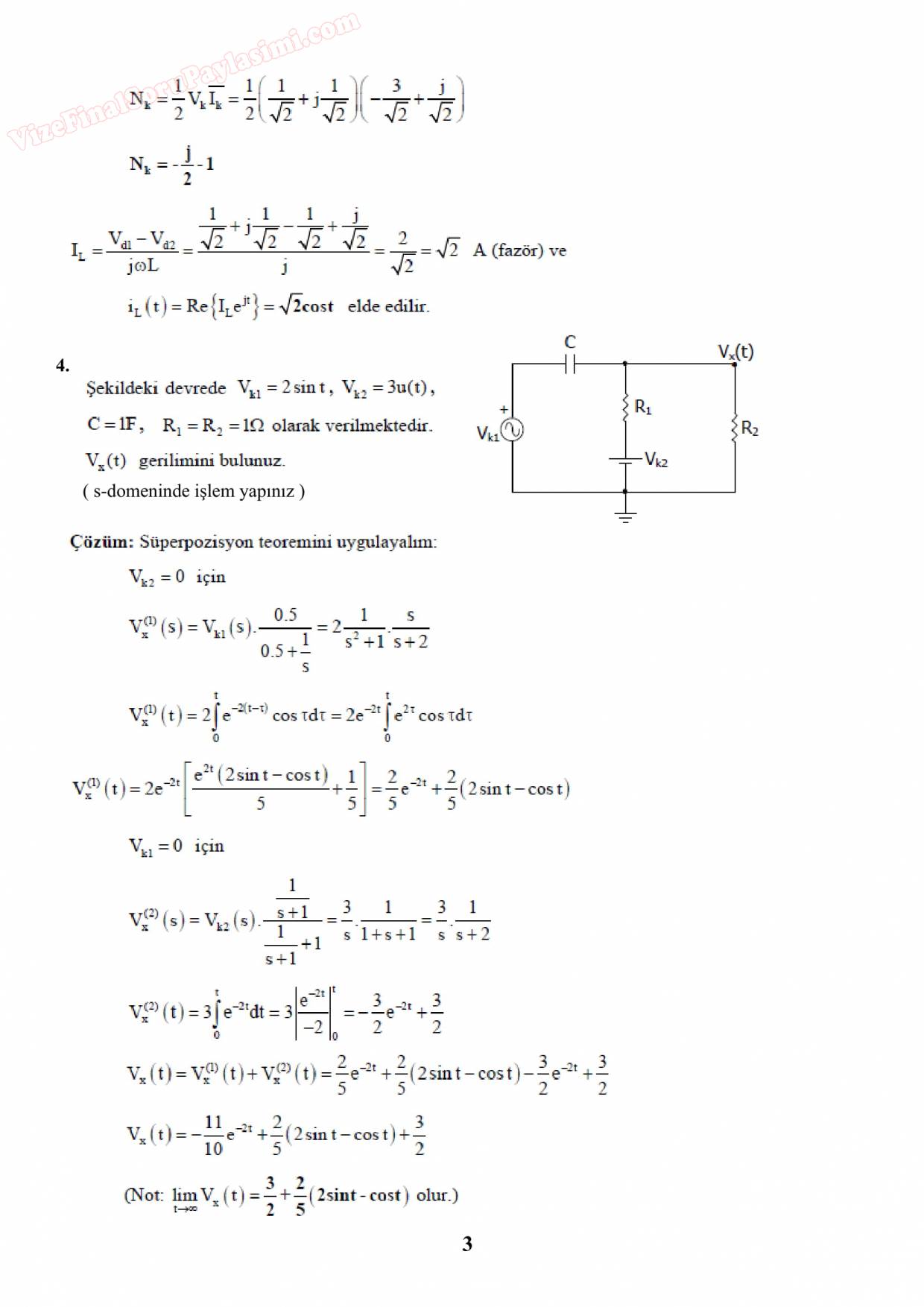
Elektrik devreleri 2 final




Bu Sayfayı Arkadaşlarınla Paylaşmak İster misin ?
GERİ DÖN




İsim:*
E-Mail:
Güvenlik: *