Üniversite Ders Notları / Termodinamik-2 Ders Notları
Termodinamik -2 Çalışma Soruları
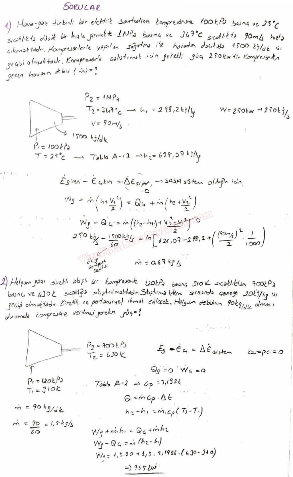
Termodinamik -2 Çalışma Soruları Örnek Sorular Ders Notları GERİ DÖN-
Termodinamik -1 Çalışma Soruları 27-03-2016, 22:12
-
Termodinamik-2 Çalışma Soruları ve Cevapları_1 24-06-2014, 18:53
-
Termodinamik-2 Çalışma Soruları ve Cevapları 24-06-2014, 18:41
-
Termodinamik-1 Çalışma Soruları ve Çözümleri_5 23-06-2014, 18:06
-
Termodinamik-1 Çalışma Soruları ve Çözümleri_4 23-06-2014, 18:03
-
Termodinamik-1 Çalışma Soruları ve Çözümleri_3 23-06-2014, 18:00
-
Termodinamik-1 Çalışma Soruları ve Çözümleri_2 23-06-2014, 17:55
-
Termodinamik-1 Çalışma Soruları_1 23-06-2014, 17:47





Facebook İle Giriş Yap
Google+ İle Giriş Yap